치수공차와 기본공차
- 치수 공차
허용차는 기준 치수에서 큰 쪽과 작은 쪽의 오차 범위를 주어 가공하게 하는 것을 말하며, 일반 공차라고도 한다.
- 용어의 뜻
(1) 내측 형체: 대상물의 내측을 형성하는 형체를 말한다.
(2) 외측 형체: 대상물의 외측을 형성하는 형체를 말한다.
(3) 구멍: 주로 원통형의 내측 형체를 말하나, 원형 단면이 아닌 내측 형체도 포함한다.
(4) 축: 주로 원통형의 외측 형체를 말하나, 원형 단면이 아닌 외측 형체도 포함한다.
(5) 치수: 형체의 크기를 나타내는 양을 말하며, 일반적으로 mm를 단위로 나타낸다.
(6) 실 치수: 두 점 사이의 거리를 실제로 측정한 치수를 말한다.
(7) 허용 한계 치수: 형체의 실 치수가 그 사이에 들어가도록 정한, 허용할 수 있는 대•소 2개의 치수로 최대 허용
치수와 최소 허용 치수로 나눈다.
(8) 치수 공차: 최대 허용 한계 치수와 최소 허용 한계 치수의 차를 말하며, 공차라고도 한다.
(9) 기준 치수: 위 치수 허용차 및 아래 치수 허용차를 적용하는 데 따라 허용 한계 치수가 주어지는 기준이 되는
치수를 말한다.
(10) 기준선: 허용 한계 치수 또는 끼워맞춤을 표시할 때의 기준 치수를 말하며, 치수 허용차의 기준이 되는 직선 을 말한다.
(11) 치수 허용차: 허용 한계 치수에서 기준 치수를 뺀 값을 말하며, 위 치수 허용차와 아래 치수 허용차로 구분한 다.
(12) 위 치수 허용차: 최대 허용 치수에서 기준 치수를 뺀 것을 말한다.
(13) 아래 치수 허용차: 최소 허용 치수에서 기준 치수를 뺀 것을 말한다.
(14) 공차역: 치수 공차를 도시하였을 때, 치수 공차의 크기와 기준선에 대한 위치에 따라 결정하는 최대 허용 치
수와 최소 허용 치수를 나타내는 2개의 직선 사이의 영역을 말한다.
(15) 공차역 클래스: 공차역의 위치와 공차 등급의 조합을 말한다.
- 기본 공차
(1) 기본 공차의 구분 및 적용
기본 공차란 치수를 구분하여 공차를 적용하는 것으로 각 구분에 대한 공차의 무리 를 공차 계열이라고 한다.
(2) IT(International Tolerance) 기본 공차
IT 기본 공차는 치수 공차와 끼워맞춤에 있어서 정해진 모든 치수 공차를 의미하는 것으로 국제표준화기구(SO) 공차 방식에 따라 분류하며, IT 01~ IT 18까지 20등 급으로 나누고 정밀도에 따라 표 I-3과 같이 적용한다.

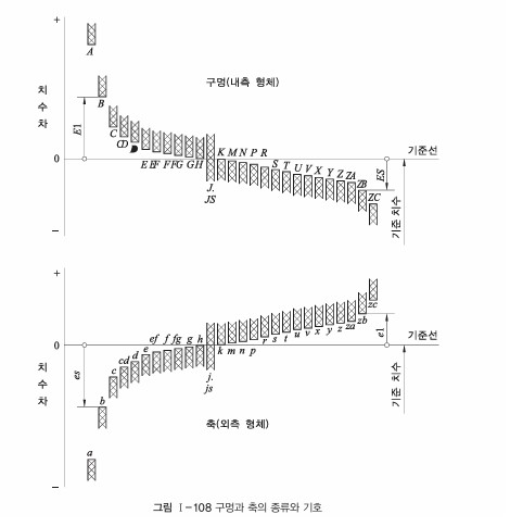
(3) 치수 허용차에 따른 구멍과 축의 종류
구멍과 축의 종류는 치수 허용차의 수치와 방향에 따라 결정되며, 공차역의 위치를 나타낸다. 구멍의 기초가 되는 치수 허용차는 A부터 ZC까지 영문자의 대문자로 나 타내고, 축의 기초가 되는 치수 허용차는 a에서 2c까지 영문자의 소문자로 나타낸다.
1 위 치수 허용차
구멍의 위 치수 허용차는 기호 ES에 따라, 축의 위 치수 허용차는 기호 es에 따라 표시한다.
2 아래 치수 허용차
구멍의 아래 치수 허용차는 기호 El에 따라, 축의 위 치수 허용차는 기호 ei에 따라 표시한다.



